What Term Describes Water That Resides Between Cells
Describe one way that cells use water Get the answers you need now. Simply put muscle memory describes the idea that the musculature of the body contracts in patterns for both posture and motion of the body.
Cells Free Full Text Into The Tissues Extracellular Matrix And Its Artificial Substitutes Cell Signalling Mechanisms Html
Describes a substance that dissolves in water.

. This process is called hydrolysis from the Greek. They provide structure for the body take in nutrients from food convert those nutrients into energy and carry out specialized functions. The interstitial fluid IF is part of the extracellular fluid ECF between the cells.
Where is intracellular fluid found. A Interstitial fluid b Diuretic fluid c Intravascular fluid d Avascular fluid e Intracellular fluid. Which of the following best describes a water-soluble hormone.
Water molecules assisted by enzymes can be pushed into certain molecules to split them into smaller sub-units. What protein in the red blood cells contains iron. Unlock to view answer.
When it leaves the blood the hormone binds to receptors located either in the cytosol or in the nucleus of a target cell. During it parts of a water molecule are added to the two separated parts. Cells are the basic building blocks of all living things.
It is manufactured by a neurosecretory cell In the blood most molecules of the hormone are bound to transport proteins. Chaneyymarie chaneyymarie 04022015 Health Middle School answered expert verified Describe one way that cells use water 2 See answers. In the body water that resides between cells is known as.
Hypotonic environment is a solution that has a reduced osmotic pressure than a certain fluid usually a body fluid. Nature Cell Biology 10 12171223 2008 doi101038ncb1782. An important function of selenium is to _____.
The inner lacy matrix of bone is called _____. When lined up there are about 4000 lipid molecules each 05 nm wide between a lipid molecule at one end of the bacterial cell and one at the other end. In the body water that resides between cells is known as.
Hydro meaning water and lysis or lusis meaning loosening or splitting. Materials travel between cells and the plasma in capillaries through the IF. Cells have many parts each with a different.
Blood plasma is the second part of the ECF. And these patterns reside in the nervous system and are on some level memorized working without our conscious control. Q04 Q04 Q04.
A protein in the intestinal cellsmade with the help of vitamin Dthat facilitates calcium absorption is a _____. Cells Study Questions Unit 1 Chapter 3 1 Describe the cells importance to living organisms. Ca 2 calmodulin signals the completion of docking and triggers a.
In a hypotonic solution all the dissolved solute molecules have a molar concentration that is lower than that of another solution or a cell. Interpret visual data demonstrating minimum optimum and maximum oxygen or carbon dioxide requirements for growth. What term describes water that resides between cells.
In the body water that resides between cells is known as a. Chromium deficiency is characterized by. What term describes water that resides between cells.
Which of the following describes a way to make electrolyte solution. Hence the term muscle memory. In the body water that resides between cells is known as a.
Thus if one of these molecules started to move toward the other exchanging places with neighboring molecule every 10-7 sec it would take only 4 x 10-4 sec to reach the other end. Obligate aerobe obligate anaerobe facultative anaerobe aerotolerant anaerobe microaerophile and capnophile. Identify and describe different categories of microbes with requirements for growth with or without oxygen.
What term describes water that resides between cells. The human body is composed of trillions of cells. What is another term for hypertension.
What term describes water that resides between cells. Water-fearing ion an atom or compound that does not contain equal numbers of protons and electrons and therefore has a net charge ionic bond a chemical bond that forms between ions of opposite charges isotope. The term that describes the environment inside the cell is hypotonic.
Dissolve a teaspoon of salt in a glass of water. The intracellular fluid ICF is the fluid within cells. Water-loving hydrophobic describes a substance that does not dissolve in water.
Cancers Free Full Text Dynamic Cancer Cell Heterogeneity Diagnostic And Therapeutic Implications Html
Cells Free Full Text Tendon Immune Regeneration Insights On The Synergetic Role Of Stem And Immune Cells During Tendon Regeneration Html
Ijms Free Full Text Helicobacter Pylori Outer Membrane Vesicles And Extracellular Vesicles From Helicobacter Pylori Infected Cells In Gastric Disease Development Html
Cells Free Full Text Disruption Of Claudin Made Tight Junction Barriers By Clostridium Perfringens Enterotoxin Insights From Structural Biology Html
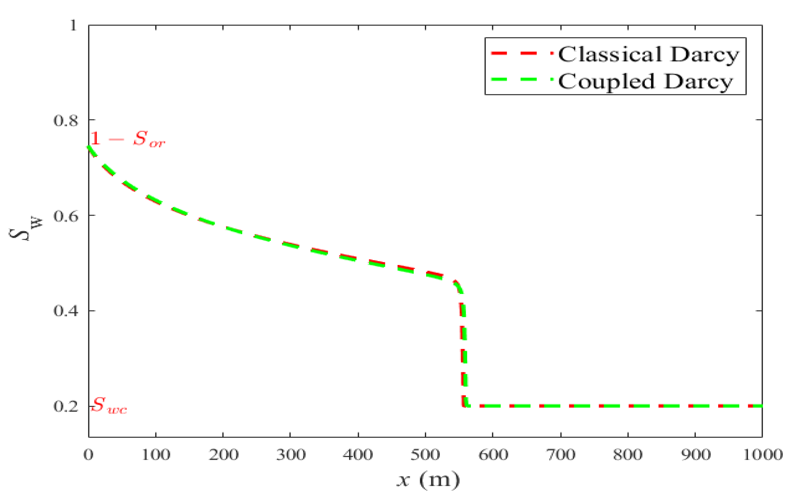
Water Free Full Text Buckley Leverett Theory For Two Phase Immiscible Fluids Flow Model With Explicit Phase Coupling Terms Html
Water Free Full Text Buckley Leverett Theory For Two Phase Immiscible Fluids Flow Model With Explicit Phase Coupling Terms Html
Cells Free Full Text Into The Tissues Extracellular Matrix And Its Artificial Substitutes Cell Signalling Mechanisms Html
Cells Free Full Text Disruption Of Claudin Made Tight Junction Barriers By Clostridium Perfringens Enterotoxin Insights From Structural Biology Html
Emerging Technologies And Infection Models In Cellular Microbiology Nature Communications
Calreticulin Regulates A Switch Between Osteoblast And Chondrocyte Lineages Derived From Murine Embryonic Stem Cells Journal Of Biological Chemistry
Biosphere The Cycling Of Phosphorus And Other Essential Nutrients Britannica
Frontiers Role Of Barrier Integrity And Dysfunctions In Maintaining The Healthy Gut And Their Health Outcomes Physiology
The Molecular Mechanism Of Cftr And Secretin Dependent Renal Bicarbonate Excretion Berg 2021 The Journal Of Physiology Wiley Online Library
Poor Transcript Protein Correlation In The Brain Negatively Correlating Gene Products Reveal Neuronal Polarity As A Potential Cause Moritz 2019 Journal Of Neurochemistry Wiley Online Library
Symbiotic Relationship An Overview Sciencedirect Topics
Ijms Free Full Text The Control Of Cell Expansion Cell Division And Vascular Development By Brassinosteroids A Historical Perspective Html
Water Free Full Text Buckley Leverett Theory For Two Phase Immiscible Fluids Flow Model With Explicit Phase Coupling Terms Html
Cells Free Full Text Disruption Of Claudin Made Tight Junction Barriers By Clostridium Perfringens Enterotoxin Insights From Structural Biology Html
The Demographics Of Water A Review Of Water Ages In The Critical Zone Sprenger 2019 Reviews Of Geophysics Wiley Online Library
Comments
Post a Comment